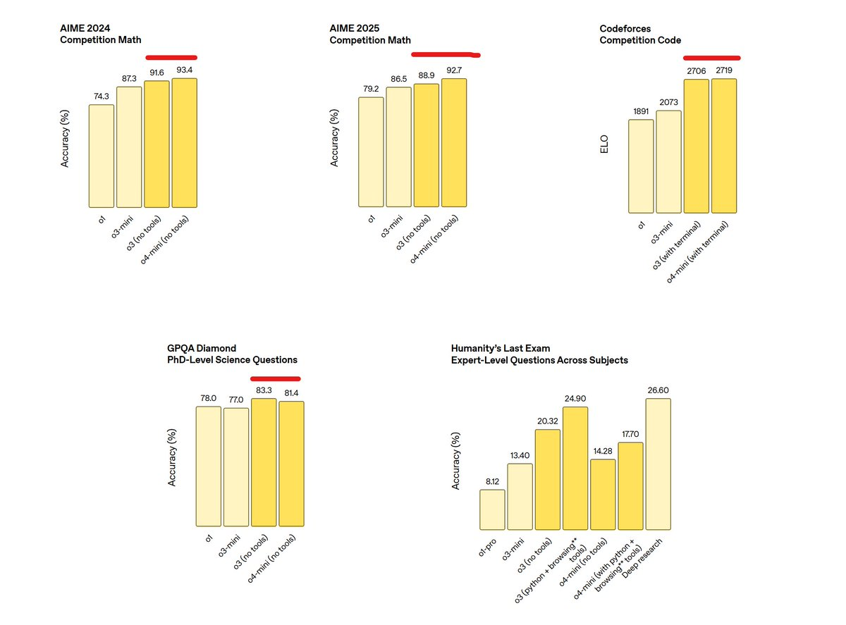
参数规模的边际效益递减:近年来大型语言模型(LLM)参数量级飞速提升,但模型性能增益却开始放缓。OpenAI的GPT-4在2023年实现了MMLU基准测试86.4%的成绩,接近人类专家水平(≈89.8%),相比GPT-3取得飞跃式提升;然而此后包括GPT-4.5、Anthropic Claude 2等在内的新模型精度仅小幅逼近88–90%,2025年最新的GPT-o3和o4mini提升速度明显放缓(下图),换言之,自2023年初以来,前沿模型在许多基准上未再出现类似GPT-3到GPT-4那样的大幅跃升,而是趋于平台期。图灵奖得主Yoshua Bengio等研究者指出,当前模型参数继续增大但边际收益递减,在部分任务上“大模型并不比小十倍的模型显著更出色”。例如,一项针对AI生成政治宣传语的权威研究发现,模型说服力随规模呈对数递增且收益迅速趋缓,最先进的GPT-4/Claude等模型与比它们小一个数量级的模型相比,说服效果几乎没有差异。由此可见,在现有Transformer架构下存在性能“天花板”:继续单纯扩大模型规模正面临收益饱和。在现有 Transformer 架构与公开语料规模下,MMLU/ARC 等传统基准“几乎封顶”,新增算力花费每提升 1 pp 需多投入两个数量级计算量——典型的幂律衰减。

2)数据与算法瓶颈:大模型训练所需的高质量数据和计算资源同样逼近极限。DeepMind的Chinchilla经验表明,模型规模与训练数据需按比例提升才能保持效率;然而现实是互联网上可用的高质量语料正在被迅速耗尽。据Epoch研究估计,全球英文高质量文本总量约为300万亿字词,而前沿模型的训练已在几年内消耗了数万亿字词,照此趋势在2026–2028年间将触及可用数据上限。有研究中值预测2028年左右人类生成的新文本将难以满足训练需求。为延续模型提升,OpenAI等不得不转向合成数据(模型自己生成语料)和更严格的数据清洗策略,但这些方法带来内容单一、事实偏差等新问题。Databricks联合创始人Ion Stoica指出:“对于常识性问题,我们已经看到模型回答的提升趋于停滞……用合成数据增益有限,高质量真实数据更有价值”。与此同时,训练开销呈指数级上涨:GPT-4据估计使用了约20万PF-days的算力,较GPT-3暴增55倍,却只带来了有限的性能提升。OpenAI CEO Sam Altman透露GPT-4训练费用高达逾1亿美元;Anthropic的CEO Dario Amodei 更预测未来最前沿模型的一次训练开支可能飙升至“1000亿美金”级别。如此天价投入只有极少数科技巨头负担得起,能源消耗也随之剧增——数据中心年耗电量可能从2021年的460太瓦时增至2030年的848太瓦时,AI是主要推手。可以说,靠堆算力换性能的时代正走到尽头,成本和能耗的飙升令ROI(投资回报)快速降低。这迫使业界开始反思算法效率并探索新路径,例如更高效的模型架构和训练范式。近期OpenAI等转向研究“以更接近人类思维的方式训练和推理”的技术(如链式思维、工具调用、稀疏Mixture-of-Experts等),希望在不线性扩大算力的情况下取得质变突破。总之,从数据、算力到算法多方面的限制表明:通往更高AI智能的现有路途变得愈发艰难,当下大模型的智能水平可能正在接近一个平台期。

摩尔定律放缓与2nm关卡:支撑AI腾飞的另一基石是底层芯片算力。然而,晶体管微缩的摩尔定律在进入3nm、2nm世代后遇到了前所未有的挑战。当工艺推进到2nm以下时,量子隧穿效应、功耗泄漏和散热瓶颈等量子物理问题愈发严重,威胁继续缩微化进展。简单来说,晶体管中栅极氧化层变得如此之薄,以至电子可以直接“穿隧”过去导致漏电,这使得器件难以正常开关,功耗急剧上升。传统硅基CMOS晶体管正逼近硅材料的极限尺度(原子级厚度),即使采用高介电常数材料、应变硅等技巧,在2nm以下仍难以避免基本物理障碍。此外,尺寸缩小也带来功率密度激增:更多晶体管挤在同一面积内意味着发热集中,散热和可靠性成为重大难题。业内普遍认为2nm节点是经典摩尔定律的“临界点”之一——再往下每一步都将愈发困难,制程改进带来的性能提升越来越有限,成本却呈倍数上涨。

2nm时代的技术进展与挑战:面对物理极限,晶圆代工厂正推出新架构和材料来延续工艺提升。台积电(TSMC)将在2nm节点首次引入环绕栅极晶体管(GAAFET)结构,以抑制亚阈值电流和漏电,提高短沟道控制。GAAFET通过让栅极360度包围通道(纳米线/纳米片),显著提升对电流的控制,从而在更小尺寸下仍保证性能与功耗。TSMC公布的2nm技术指标相较其3nm增强版(N3E)提升并不算巨大:预计速度提升10%–15%,功耗降低25%–30%,晶体管密度增加约15%。这反映出先进工艺的收益正在趋于收缩:过去工艺迭代动辄性能提升30%以上、密度翻倍的时代已成历史,如今每推进一个节点可能只能获得两位数百分比的改进。目前TSMC已在加紧2nm量产准备,预计2025年下半年进入高产能量产。从最新披露来看,2nm工艺的256Mb SRAM良率已超过90%,缺陷密度曲线优于3nm同期,显示出一定成熟度。然而,需要注意的是,实现2nm量产TSMC也做出了巨额资本投入(新建晶圆厂和EUV光刻机等),单晶圆制造成本将更高,这可能传导到AI芯片价格上。

结合以上分析,接下来2–3年AI产业可能进入降温和重新校正预期的阶段。很像是泡腾片,表面已经开始出现明显的泡沫,但是底层的核心大企业依然具备领先优势和增长动能。
1)大模型智能增速放缓意味着部分超高预期将难以短期兑现,AI领域的二三线公司将会遇到明显的风险。如果投资者期待每年都有“GPT-5级”的突破,而现实技术进展趋于渐进式改良,那么市场热情可能随时间降温。这类似于5G通信的经历:早期宣传5G带来革命性变化,但由于应用场景和技术瓶颈未达预期,热度在部署初期后逐渐回落。如今在生成式AI领域,也出现了概念验证多、真正落地少的迹象。Gartner的研究指出,到2025年将有30%的生成式AI项目在试点后被放弃,主要原因是难以实现预期ROI(回报)。这表明相当一部分当前涌入的AI应用尝试可能无法转化为长期价值,从业者对AI的认知将趋于理性。
2)算力供给端的瓶颈将为AI扩张设下硬限制。过去十年AI飞速进步很大程度上仰赖摩尔定律提供的廉价算力红利。而随着晶体管微缩步履沉重,算力成本曲线正在抬升,这可能抑制新进入者和非头部企业的创新投入。当顶尖AI模型训练要耗资数亿美元乃至十亿美元时,AI赛道的高门槛将导致泡沫资金逐步退场,仅剩下财力雄厚的少数巨头继续探索。此外,能耗和供应链问题使AI扩张面临现实约束:数据中心电力和冷却能力不是无限的,先进芯片产能需要数年爬坡建设。若没有革命性的新硬件突破(例如实用化的光子计算、量子计算或更先进的3D芯片堆叠),现有硅基芯片的性能提升将趋缓,无法支撑起无止境的AI算力需求。这种供给端的趋紧无疑会削弱资本市场对AI板块的炒作热情,一旦业绩和应用进展跟不上估值增长,“AI泡沫”可能出现缩水甚至破裂。
3)这并不意味着AI长线的前景黯淡。历史经验表明,技术泡沫破裂后往往孕育理性发展的土壤,真正有价值的创新将持续推进。2000年互联网泡沫破灭后,互联网应用并未消失,反而在理性资本支持下更稳健地成长。同样,假使AI热度在2025年前后降温,这很可能是行业成熟的信号,而非终点。实际上,各大领军机构已在积极寻求架构级的突破:在算法上,探索新的模型形式和训练范式(如类人思维的推理、强化学习与符号AI结合等)以突破现有深度学习的局限;在硬件上,研发行之有效的异构计算和3D集成(如Chiplet芯粒设计、存算一体、高带宽存储堆叠),甚至尝试类脑/光学计算来接力摩尔定律。这样的架构革新类似于2007年iPhone的出现——iPhone并非依赖更微小的芯片制程制胜,而是通过整合创新的人机交互和移动互联网生态,实现了范式转变式的繁荣。AI领域或许也在等待这样的关键突破:一旦新的算法/硬件组合实现质变提升,便可能催生下一个应用浪潮,推动AI真正融入各行各业,带来与当前炒作预期相匹配的生产力飞跃。从大模型角度,更务实的一点是,伴随着智能增长的瓶颈,AI大模型的幻觉率反而出现了大幅的减少(从1.4-0.7),这也意味着目前AI的发展更侧重于修炼内功,提升质量,而不是一味的堆砌算力智能。

综合智能瓶颈与芯片极限两方面因素,我们预计未来2–3年AI行业将从狂热走向理性:短期内技术供给端的瓶颈可能使得部分AI泡沫溢价无法兑现,投资热度可能冷却,但这更像是一次健康的调整,而非AI发展的终结。那些缺乏核心技术和真实应用支撑的炒作项目将被淘汰(正如部分无人兑现的5G概念逐渐沉寂),而拥有硬核技术积累、积极寻求突破路径的企业会在调整期脱颖而出。 可以预见,AI的长期变革潜力依然巨大,只是实现路径将更曲折、多元:既需要算法和认知思路的创新,也需要硬件工艺的跨越。对于投资者而言,当下更应关注AI领域的基础研究进展和底层技术演进,警惕盲目追高概念炒作。正如OpenAI等顶尖研究机构所示,如果当前范式遇到了瓶颈,就要寻找新的路径。 下一个阶段的AI增长动力,或将来源于我们对智能本质和计算架构的更深层理解与突破。当真正的技术拐点出现时,AI将不再是泡沫,而会创造出iPhone式的产业繁荣。我们对未来保持审慎的乐观:经历了可能的降温期后,一个更加务实且蓬勃发展的AI时代仍将到来。
1, 持有绝对龙头,做“指数级溢价”收割者。 AI 长坡厚雪的资本回报将极度向赢家集中。当前全球具备全栈护城河与融资成本优势的公司只剩 英伟达(NVDA)-算力铲子、微软(MSFT)-云端 OS、谷歌(GOOGL)-算法与数据 三家。其它玩家或赚 Beta,或沦为成本中心。也就是AI Sovereign Bonds——即便技术拐点推迟,它们也能凭现金流与议价能力熨平周期风险。
2,逢回调而进,拒绝高位 FOMO。 不在历史高点附近追涨买入加仓:AI 边际效益递减+半导体 2 nm 瓶颈,意味着短期情绪极易回撤 15–20 %,极端情况下甚至更高。
长线可以考虑采用 估值再平衡买点: -NVDA:FWD P/S < 20 ,EV/EBITDA < 30 -MSFT / GOOGL:PEG< 1.8、EV/FCF 恢复至五年中枢以下。
1)GPU 销售爆发期营收比利润更稳,用销售额做锚更清晰。FWD P/S<20 代表市场只愿为未来 12 个月每 1 美元营收付 ≤20 美元,回到 2023 H1 的高位区间而非 2024 H2 的狂热 30+。
2)NVDA把税、折旧、利息都剔掉,看“干净现金肌肉”。EV/EBITDA<30 大概对应硬件成长股可接受的上沿;再往上(40–50)历史上往往是泡沫顶。
3)MSFT / GOOGL属于“稳健增速 + 宽护城河”公司,价格 ÷ EPS 增速最好≤2 才不算给溢价过多。<1.8 说明盈利增长能基本覆盖估值溢价。
4)MSFT / GOOGL公司自由现金流极厚,用 EV/FCF 看“真金白银”。跌回自家五年中枢下方=“买进就至少不吃亏”,给多头留安全垫
“买跌不买涨”并非逆势,而是以 估值与晶圆供给节奏脱钩 作为安全边际。此法在 1995–2005 年互联网巨头身上经验证明,可把技术平台期的 drawdown 控制在可承受区间。
3,剔除非龙头概念票,勿重蹈 5G 旧辙。 规则简单:ROIC< WACC、无可验证商业化路径、靠 PPT 讲模型故事——全部回避。“二线 GPU”“AI SaaS 小票”“未量产 ASIC”皆属高β+高偏度,长线期望值趋零。 纳斯达克 1999–2002 数据显示:TOP10 权重股 10 年累计超额回报 760 %,其余 90 % 科网股净值仍低于 IPO 价。硅谷神话同样遵循幂律分布。
硬件:光子计算、量子计算、Chiplet-3D 封装——任何能把能效曲线重置 10× 的赛道都值得择机布局。
软件/算法:具身智能、类人推理、强化学习+检索增强 LLM,尤其关注拥有闭环数据源与自训练机器人平台的团队。 当前 LLM 已进入“功耗不经济”区间,华尔街看多的下一个 Story 正是能效/推理范式革命。提早准备,静待技术拐点兑现,是捕捉 5 年后 Alpha 的低成本方式。
1)MMLU 提升 < 1.5 pp 就是说:新模型在 MMLU 测试里的正确率,相比上一代只多了不到 1.5 个百分点。例:上一版 90.0 %,新版本 91.3 %——增幅 1.3 pp。增幅太小 → 智能斜率趋缓:从每年 +4 pp 掉到 +1 pp 级别,说明现有“大力出奇迹”训练方法遇到边际效益递减。<1.5 pp”意味着进步幅度微乎其微,可能预示当前范式接近瓶颈。
2)A16(1.6 nm 级)成本爆冲>35 %为何是风险警示?根源是“良率更难 + 工序更贵 + 设备天价”三座大山同时压上。ASML 的 Twinscan EXE:5000 报价 3.8–4 亿美元,是现役低-NA EUV 的两倍,TSMC 内部评估 A16 节点如果全面引入 High-NA,单片折旧要比 N3E 至少多 +12–15 %;即便暂缓导入,也必须追加多台低-NA EUV 做多重曝光,设备 CAPEX 仍明显抬升。工艺:GAAFET + BSPDN + 多层铜栈,掰开揉碎都是钱,综合叠加,光工序就把 每片晶圆直接材料 + 运营成本 推高 ≈ +20 %。市调显示,N2 SRAM 良率能到 90 %,但 逻辑大芯片良率首季仅 50–60 %;A16 隧穿更严重,初期良率或跌破 50 %,Tom’s Hardware 报道 N2 晶圆价 30 000 美元,已是 N4 的 2×;半导体分析机构预估 A16 初期可能再溢价 10–20 %,设备折旧 + 制程叠加 + 良率折损 统算成本大于35%会成为芯片制造非常明显的成本风险。
1,没有新范式(检索增强、Agent、多模态对齐之外),大模型只是“专业助手”而非“通用专家”;估值继续向上需等待质变。二线芯片 CapEx 敏感:若 High-NA 延期,是最先承压的“泡沫爆点”,无算法突破则 P/S>20 的纯 AI SaaS 恐怕最先被挤水分。
2,“AI 这杯泡腾片水,味道还行,但泡腾片持续消耗(乐观预期),冰桶(算法)不再续满、佐餐(晶体管)变贵——想继续买单,市场得先尝到新口味。” 如果智能曲线或晶体管路线图有任一突破,泡沫仍可“软着陆”;若二者同步遇冷,2025-27 可能重演 2000年后的多杀多。谨慎拥抱龙头,避免追涨买入,出现警示信号果断减仓,警惕二线估值幻觉。